研究进展
近日,广州大学 窦凯课题组与香港教育大学 黎建斌课题组合作在美国心理学会(APA)权威期刊《Psychology of Violence》(SSCI-Q1)上发表题为“The Longitudinal Associations between Non-Violent/Violent Stressful Life Events, Moral Disengagement, and Online Aggression in Chinese Young People through the Lens of General Aggression Model”研究论文。 从一般攻击模型(General Aggression Model, GAM)视角,揭示中国青少年非暴力/暴力压力生活事件、道德推脱与网络攻击行为的纵向关系。 窦凯教授为本文第一作者,硕士毕业生 陈丽羽为第二作者, 黎建斌副教授为通讯作者,课题组硕士毕业生 黎彦余(目前在乌特勒支大学读博)、 林晓琦、袁雪晴参与了此项工作。

什么是网络攻击行为?
网络攻击行为(Online Aggression, OA )是指人们通过电子产品或网络媒介(如社交媒体),有意伤害他人的行为(Ybarra & Mitchell, 2004; Zhao & Gao, 2012)。大量研究表明,网络攻击行为与一系列消极结果有关,如自卑、药物滥用、抑郁甚至自杀(John et al., 2018; Hinduja & Patchin, 2010; Turliuc et al., 2020; Vieno et al., 2011)。网络攻击已成为颇受关注的公共卫生问题,因此有必要揭示网络攻击行为的成因和发生机制。

从一般攻击模型理解网络暴力的发生过程
一般攻击模型(General Aggression Model, GAM)认为,人类攻击行为的产生往往包括三个阶段:
① 输入阶段(Iuputs),个体和情境因素是诱发攻击冲动的诱因。例如,受到他人挑衅的人更有可能为了报复而进行攻击(Denson et al., 2011)。
② 内部评估阶段(Routes),当个体或情境因素输入后,会改变个体的认知、情感、唤醒度以及它们之间的相互作用,这些“重塑”后的内部状态是决定个体是否会采取激进行为的关键因素。
③ 结果阶段(Outcomes),基于前两个阶段的分析,个体将最终做出是否攻击行为的决策。
基于GAM的观点,我们推测经历暴力或非暴力压力生活事件(输入阶段)的个体会改变或重塑内部道德判断标准(内部评估阶段),进而影响他们在网络环境中的攻击决策(结果阶段)。

一般攻击模型(GAM)示意图
揭秘压力“塑造”网络攻击行为的内部过程
01 压力生活事件:暴力 vs.非暴力
压力生活事件是日常生活中可能导致个体感到压力和沮丧的事件(Geng & Lei, 2021; Liu et al., 1997),既包括 非暴力的(如家庭事务和人际问题),也有 暴力的(如遭受暴力侵害)。根据GAM的观点,暴力/非暴力的压力生活事件均可作为情境输入,可能会“扭曲”或“扰乱”个体的道德认知功能,为从事网络攻击行为提供了合理辩护,即道德推脱。

02 道德推脱:网络暴力的“隐形推手”
道德推脱是一种道德认知过程,指的是个体扭曲内部的道德标准以满足“自我保护”需要,并为自己从事不道德行为进行辩护 (Bandura, 1999, 2002)。
研究发现,当道德推脱程度增加时,会增加网络攻击行为发生的概率(Fang et al., 2020; Gao et al., 2020)。 首先,当个体具有侵犯他人的倾向时,其道德会激活自我控制来抑制此类冲动,以避免道德制裁(Li et al., 2014)。 其次,互联网的匿名性、无形性和去个体化特性降低了人们对道德约束的感知,因此在网络环境中,人们在实施违法行为时受到的道德约束较少(Grigg, 2010)。

03 暴力与非暴力生活事件如何影响网络攻击行为?
虽然过往研究考察了青少年接触暴力或非暴力生活事件诱发网络攻击行为与道德推脱有关,但这一内部作用过程仍存在诸多“谜团”有待解决:(1)非暴力或暴力的压力生活事件作为两个风险因素,究竟会 独立地,还是会 交互作用于网络攻击行为?(2)道德推脱是否与网络攻击行为的发展有关?能否作为暴力/非暴力生活事件触发网络攻击行为的“桥梁”?(3)生活中暴力接触会增强道德推脱与网络攻击行为的内部关联吗?
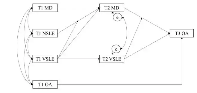
为解决上述疑问,我们基于一般攻击模型,构建了暴力/非暴力压力生活事件影响网络攻击行为的理论模型图(如下)。该模型的一个重要之处在于采用了纵向研究设计并控制了中介变量以及结果变量的基线,从而提高了结果的内部效度。

图1
非暴力/暴力压力生活事件、
道德推脱和网络攻击纵向关系模型图
注: NSLE /VSLE= 非暴力/
暴力压力生活事件;
MD = 道德推脱;OA = 网络攻击
研究方法
采用三波纵向追踪设计(每个时间点间隔3个月),调查了569名大学生(Mage = 21.94,SD = 1.17,男性占42.5%)的非暴力生活事件(T1)、暴力压力生活事件(T1/T2)、道德推脱(T1/T2)和网络攻击行为(T1/T3)。采用Mplus 8.0进行路径分析,检验非暴力/暴力压力生活事件、道德推脱和网络攻击之间的关系。
研究发现与启示
1. 暴力压力生活事件会助长道德推脱
同时纳入暴力和非暴力生活事件共同预测网络攻击行为是本研究的理论贡献之一。控制基线后, 只发现暴力压力生活事件能正向预测道德推脱,而非暴力压力生活事件则无法预测。
2. 道德推脱是网络攻击行为的风险因素
在控制网络攻击行为初始水平后, 道德推脱水平越高的青年人越倾向于从事网络攻击行为,该结果支持道德脱敏假说。可见,经常为不道德行为寻找合理化“借口”的人容易陷入网络暴力的漩涡。
3. 道德推脱仅在暴力压力生活事件和网络攻击间起中介作用
虽然本研究支持一般攻击模型,但仅发现道德推脱在暴力生活事件(而不是非暴力压力生活事件)与网络攻击行为之间起中介作用,这提示,作为触发网络攻击行为的外部输入因素,相比于非暴力生活压力, 暴力线索接触更易通过道德推脱来加剧网络攻击行为的发生,俨然成为助推网络暴力的“隐形推手”。
4. 暴力压力生活事件是否调节道德推脱与网络攻击间的关系
当前的研究结果并未支持这一调节效应。尽管有证据表明,暴力事件会消耗个体抑制攻击时所需的心理资源(DeWall et al., 2007; Finkel, 2014),但暴力压力生活事件只是一种心理资源匮乏的象征,并不完全等同。

教育启示

本研究区分了暴力和非暴力压力生活事件影响大学生网络攻击行为的独特性和相对重要性,这为预防中国大学生网络暴力的发生具有重要启示。
1. 营造安全校园环境,遏制暴力生活事件的发生
相比于非暴力生活事件,暴力性环境接触对网络攻击行为具有根本性作用。因此,高校需联合多方力量为大学生创造一个安全的校园环境,传递“抵制暴力”的校园文化,减少学生与暴力压力生活事件接触的机会。 研究表明,减少或消除年轻人在家庭、学校和社区成长过程中的暴力接触是预防网络攻击的有效途径。
鉴于压力生活事件的高风险特征,大学心理健康问题筛查中除了重视非暴力压力生活事件的风险外,还应重点关注 暴力压力生活事件和 道德推脱的风险性,咨询师可为此类来访者提供早期预防和干预的服务,尽可能降低暴力生活环境对大学生成长发展的消极影响。
3. 鼓励开设“预防网络暴力”的选修课程
通过选修课程或课程渗透的方式,在课堂上增强大学生网络安全意识和道德品质素养,是预防网络暴力的一种方式。此外,在课程和毕业生素质要求中进行道德教育并强调伦理和道德责任,也有利于增强大学生的道德认知并减少网络攻击行为的发生。
基金资助
该研究得到国家社会科学基金一般项目(No.23BSH138)和广东省哲学社会科学规划一般项目(No.GD22CXL05)的资金支持。
文献引用(APA)
Dou, K., Chen, L. Y., Li, Y. Y., Lin, X. Q., Yuan, X. Q., & Li, J. B. (2024). The longitudinal associations between non-violent/violent stressful life events, moral disengagement, and online aggression in Chinese young people through the lens of general aggression model. Psychology of Violence, 14(5), 364–372.https://dx.doi.org/10.1037/vio0000533

